Масса тела
Введено понятие массы тела и единицы массы тела. Показано, как определяется масса тел на Земле и в космосе. Описана зависимость массы тела от скорости его движения.

МАССА ТЕЛА в МЕХАНИКЕ и БИОМЕХАНИКЕ
Понятие массы тела
Масса (m) – скалярная величина, мера инертности тела при его поступательном движении.
При действии на тело силы инертность проявляется в том, что тело изменяет свое движение постепенно и тем медленнее, чем больше его масса.
Масса тела зависит от количества вещества, из которого состоит тело, и характеризует его сопротивление изменению скорости – насколько приложенная сила изменит его скорость. Если к двум телам разной массы приложена одинаковая сила, то тело с меньшей массой приобретет большее ускорение (либо торможение) в сравнении с телом большей массы. Более точно можно сказать, что ускорения, которые получают тела при их взаимодействии обратно пропорциональны их массам. Эта закономерность выражается следующей пропорцией (1):
— a2/a1= m1/m2 (1) или в другой записи: a1m1= — a2m2 (2).
То есть ускорения двух взаимодействующих тел противоположно направлены, на что указывает знак минус в формуле. Если при взаимодействии двух тел одно из них получает в два раза меньшее ускорение, то это значит, что его инертность, а следовательно и масса в два раза больше.
Единица массы тела
В международной системе единиц (СИ) за единицу массы — один килограмм (1 кг) — принята масса гири, выполненная в форме прямого цилиндра. Высота цилиндра равна его диаметру и составляет 39 мм. Гиря изготовлена из сплава платины и иридия. Эталон килограмма хранится в Международном бюро мер и весов в Севре, близ Парижа. Точные копии этой гири имеются во всех странах. В России имеется копия килограмма под номером 12 (рис.1).

Как определить массу тела
Масса тел, находящихся на Земле определяется взвешиванием. Первые весы были изобретены более 7000 лет назад в Древнем Египте и Вавилоне (рис.2).

При взвешивании использовался принцип рычага: к равноплечному коромыслу с двух сторон подвешивали чашки и на одну из них клали то, что нужно взвесить, а на другую — противовес, масса которого была известна (рис.3).

Если тело имеет очень большие размеры, например такие как наша планета Земля, её массу определяют на основе закона Всемирного тяготения по формуле: M=gR2/G, где M — масса Земли, кг; R — радиус Земли, равный 6371,3×103 м; G — гравитационная постоянная, равная 6,67470×10-11 м3/кг с2; g — ускорение свободного падения на Земле, равное: g= 9,806 м/с2. Расчеты показывают, что масса планеты Земля равна M=5,97×1024 кг.
Влияние скорости движения тела на его массу
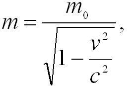
Долгое время считалось, что скорость движения тела не влияет на его массу. Однако в начале ХХ века было установлено, что масса тела зависит от скорости его движения. Было доказано, что с ростом скорости движения тела увеличивается его инертность и, следовательно и его масса. Из результатов специальной теории относительности Альберта Эйнштейна масса тела зависит от скорости следующим образом:
где: mo — масса тела в покое; v — скорость тела; с — скорость света.
При малых скоростях изменение массы тела очень мало и им пренебрегают. Например, если масса покоящегося тела равна 1 г, то при скорости 6000 км/с она будет равна 1, 0002 г. Однако при скорости 299789 км/с масса тела будет составлять 387, 16 г.
Масса тела в биомеханике
В биомеханике двигательных действий для выполнения расчетов необходимо знать не только массу тела, но и массу звеньев тела живого человека. Одними из первых эту задачу решили немецкие ученые Вильгельм Брауне и Отто Фишер. Впоследствии эту задачу более точными методами решил В.Н.Селуянов.
Литература
- Кичайкина Н.Б., Самсонова А.В. Биомеханика двигательных действий: учеб. пособие. — НГУ им. П.Ф.Лесгата, 2018.- 210 с.
- Попов Г.И., Самсонова А.В. Биомеханика двигательной деятельности.- М.: Издательский центр «Академия», 2011.- 320 с.
- Яковлев А.Б., Самсонова А.В. Физика. В кн: Естественно-научные основы физической культуры и спорта. Учебник.- М.: Советский спорт, 2014.- С. 52-165.
С уважением, А.В.Самсонова